TOKİ’DEN AKSARAY’A 2 BİN 353 SOSYAL KONUT KURA ÇEKİLİŞİ 30 OCAK’TA YAPILACAK
TOKİ’DEN AKSARAY’A 2 BİN 353 SOSYAL KONUT KURA ÇEKİLİŞİ 30 OCAK’TA YAPILACAK
-
A+Buyut
-
A-Kucult
Toplu Konut İdaresi Başkanlığı’nın (TOKİ) 500 bin Sosyal Konut Projesi kapsamında Aksaray’da inşa edilecek 2 bin 353 konut için kura çekiliş tarihi netleşti. Resmî açıklamaya göre, TOKİ Aksaray kura çekilişi 30 Ocak Perşembe günü, Atatürk Kapalı Spor Salonu’nda saat 11.00’de gerçekleştirilecek.
Dar ve orta gelirli vatandaşları ev sahibi yapmayı amaçlayan proje, Aksaray’da büyük heyecan oluşturdu. Şeffaflık ilkesi doğrultusunda noter huzurunda yapılacak kura çekilişiyle, binlerce vatandaşın konut hayali gerçeğe dönüşecek.
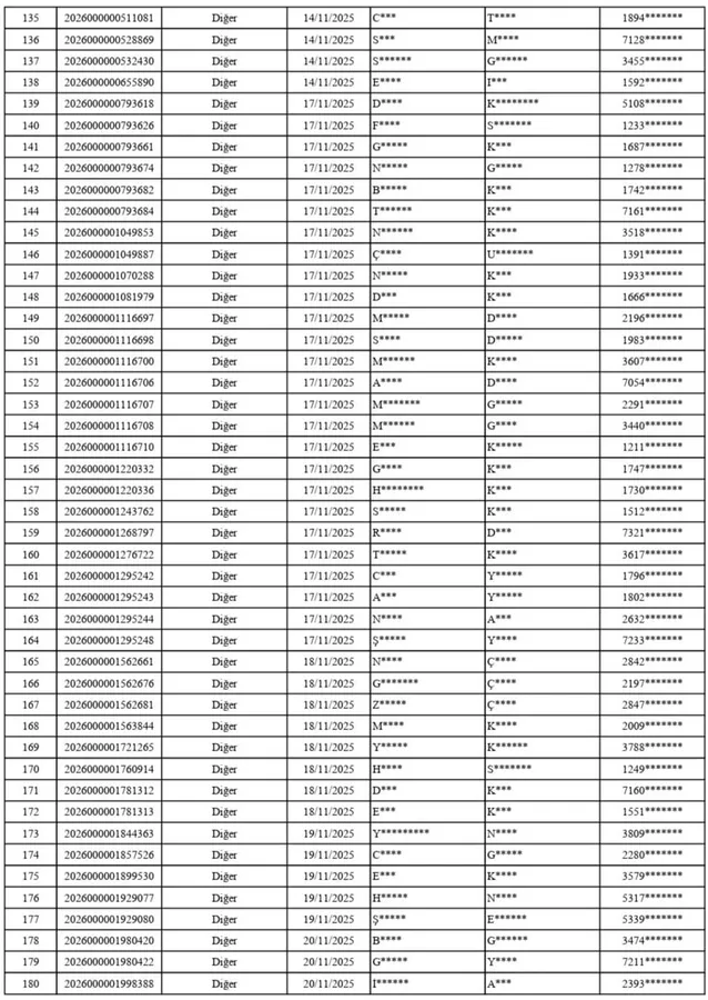
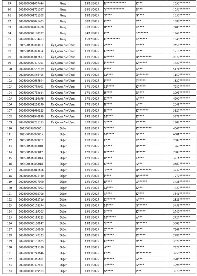
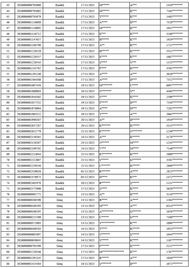
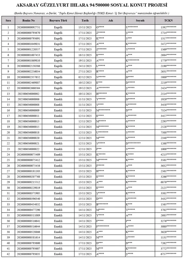
Proje kapsamında kasabamız için ayrılan 94 konutun kura çekilişine katılacak hak sahiplerinin isim listesi de kamuoyuyla paylaşıldı. Belirlenen listede yer alan vatandaşlar, kura günü yapılacak çekilişle birlikte ev sahibi olma şansı yakalayacak.
TOKİ tarafından yürütülen 2 bin 353 konutluk dev yatırımın, Aksaray’daki konut ihtiyacına önemli ölçüde katkı sağlaması ve sosyal yaşamı güçlendirmesi bekleniyor. Yetkililer, kura çekilişine katılacak vatandaşların belirtilen tarih ve saatte salonda hazır bulunmaları gerektiğini hatırlattı.
30 Ocak’ta yapılacak kura çekilişinin, Aksaray ve kasaba halkı için hayırlı olması temennisinde bulunuldu.

















